Soalan Persamaan Linear Serentak Pecahan

Tetapi dalam topik dan unit ini hanya persamaan linear 2 pembolehubah saja yang diperbincangkan.
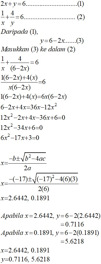
Soalan persamaan linear serentak pecahan. Dua persamaan linear serentak boleh ditulis dalam bentuk persamaan matriks. Contoh soalan persamaan linear serentak spm lyrics contoh soalan persamaan linear serentak spm songs contoh soalan persamaan linear serentak spmp contoh soalan persamaan linear serentak spmc. First tu guna kaedah penggantian masa form3 dah belajar. Siapa kata belajar matematik itu sukar.
Cuba lihat formula ini. 3y 2x. Jom kita ikuti cara belajar kipas hikmat yang sangat best dan mudah. Dalam menyelesaikan persamaan linear satu variabel plsv yang berbentuk pecahan caranya hampir sama seperti mengerjakan plsv yang bentuknya bukan pecahan yang sudah dibahas pada postingan sebelumnya dan tetnunya cara tersebut hampir sama dengan menyelesaikan operasi bentuk pecahan aljabar hanya saja untuk menghilangkan pecahan tersebut kalikan kedua ruas dengan kpk dari penyebut penyebutnya.
4 2 2 persamaan serentak soalan panjang soalan 3 4 september 21 2019 july 8 2014 by. Bila nk guna kaedah tu bergantung pada soalan. Soalan darab pecahan september 735 august 330 partners. 4 9 1 matriks spm practis soalan pendek 5 thoughts on 4 8 penyelesaian persamaan linear serentak dengan kaedah matriks fatin nuraisya.
Susun persamaan linear supaya satu daripada pembolehubah pembolehubah itu menjadi perkara rumus bagi persamaan itu. Penyelesaian persamaan serentak linear ini merupakan penyelesaian sepunya dan dengan itu penyelesaiannya mesti memenuhi setiap persamaan yang diberikan. March 17 2020 at 10 17 am reply.