Normal Distribution Table Spm

Normal distribution table spm free download as pdf file pdf text file txt or read online for free.
Normal distribution table spm. Also an online normal distribution probability calculator may be useful to check your answers. Normal distribution problems with solutions. Suatu pembolehubah rawak selanjar x adalah bertaburan normal jika grafnya meunjukkan ciri ciri berikut. A lengkungnya berbentuk loceng b ia bersimetri pada paksi tegak yang melalui minnya iaitu line.
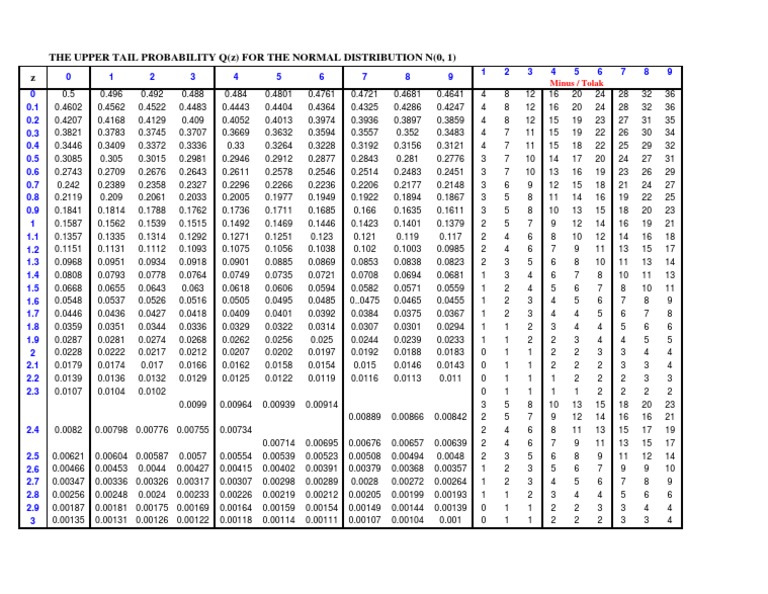
Much more than documents. Problems and applications on normal distributions are presented. Standard normal distribution table 0 z z 00 01 02 03 04 05 06 07 08 09 0 0 0000 0040 0080 0120 0160 0199 0239 0279 0319 0359. Df t 0 100 t 0 050 t 0 025 t 0 010 t 0 005 1 3 0777 6 3138 12 7062 31 8205 63 6567 2 1 8856 2 9200 4 3027 6 9646 9 9248.
Find the value of each of the following probabilities by reading the standard normal distribution tables. This video you will learn very basic skill for standard normal distribution diagram at the same time you will learn how to read the table. 8 2b standard normal distribution tables example 1 example 1. Spm probability table read online for free.
The solutions to these problems are at the bottom of the page. A p z 0 600 b p z 1 24 c p z 1 1 d p z 0 76 solution. T distribution table entries provide the solution to pr t tp p where t has a t distribution with the indicated degrees of freeom. 8 2 taburan normal a pembolehubah rawak selanjar 1.
Anytime that a normal distribution is being used a table such as this one can be consulted to perform important calculations. Anyways if you. Discover everything scribd has to offer including books and audiobooks from major publishers. Standard normal cumulative probability table cumulative probabilities for positive z values are shown in the following table.
Pembolehubah rawak selanjar ialah suatu pembolehubah yang boleh mengambil sebarang nilai di dalam suatu selang. B taburan normal 1.