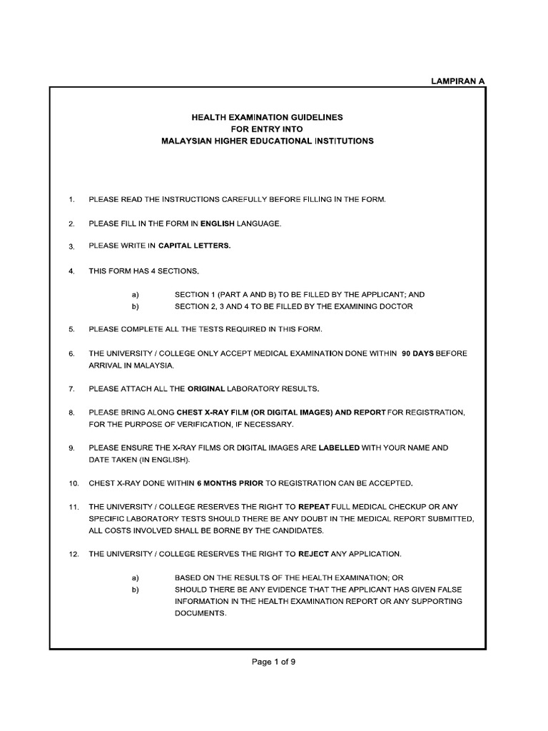
Medical Check Up In Malaysia

Looking for full body medical check up package in malaysia.
Medical check up in malaysia. As such it has become even more imperative that we pay more attention to our wellbeing as we tackle and juggle the stress our hectic lifestyle demands. Look no further than this medical check up package offered by kuantan medical centre kmc. General line 603 7491 9191. Call 6012 5121499 now for booking.
Best health screening package in malaysia at most reasonable price. Our services centres of excellence. Awesome savings save up to 70 compared to treatment at home. Pathalogy clinical laboratory m sdn bhd since its establishment in 1952 in singapore and 1974 in malaysia the pathlab group of companies has been providing its services to the medical fraternity and the general public.
Besides the individual health screening profiles offered we have various health screening packages for couples and families. Glasses spectacles for your vision test. What better way to show that you really care for their well being with their health. There are over a 1 000 staff with 60 qualified ophthalmologist radiologist dermatologist gynaecologist obstetrician orthopaedic gastroenterologist plastic cosmetic surgeon physician and cardiologists.
Our expert medical team is the most important asset of bp healthcare. Accident emergency department. Medical check up package malaysia kuala lumpur federal territory kuala lumpur. Find a doctor find a doctor.
Our 26 centres of excellence provide top notch medical care. Previous medical records if any especially x rays mri ct scan from your last check up for comparison. Find a doctor 2 194 doctors 1 416 clinics in 13 countries. Full body checkup package with immediate medical report.
You can choose the various packages to share or gifted to your loved ones. Health packages in today s fast moving times the hustle and bustle of urban routine can take its toll on our health. Contact lenses will need to be removed prior to vision test. Emergency help 603 5566 8888.
Make an appointment for medical check up. Pathlab offers a total healthcare solution in helping the community in monitoring maintaining and protecting one s health.